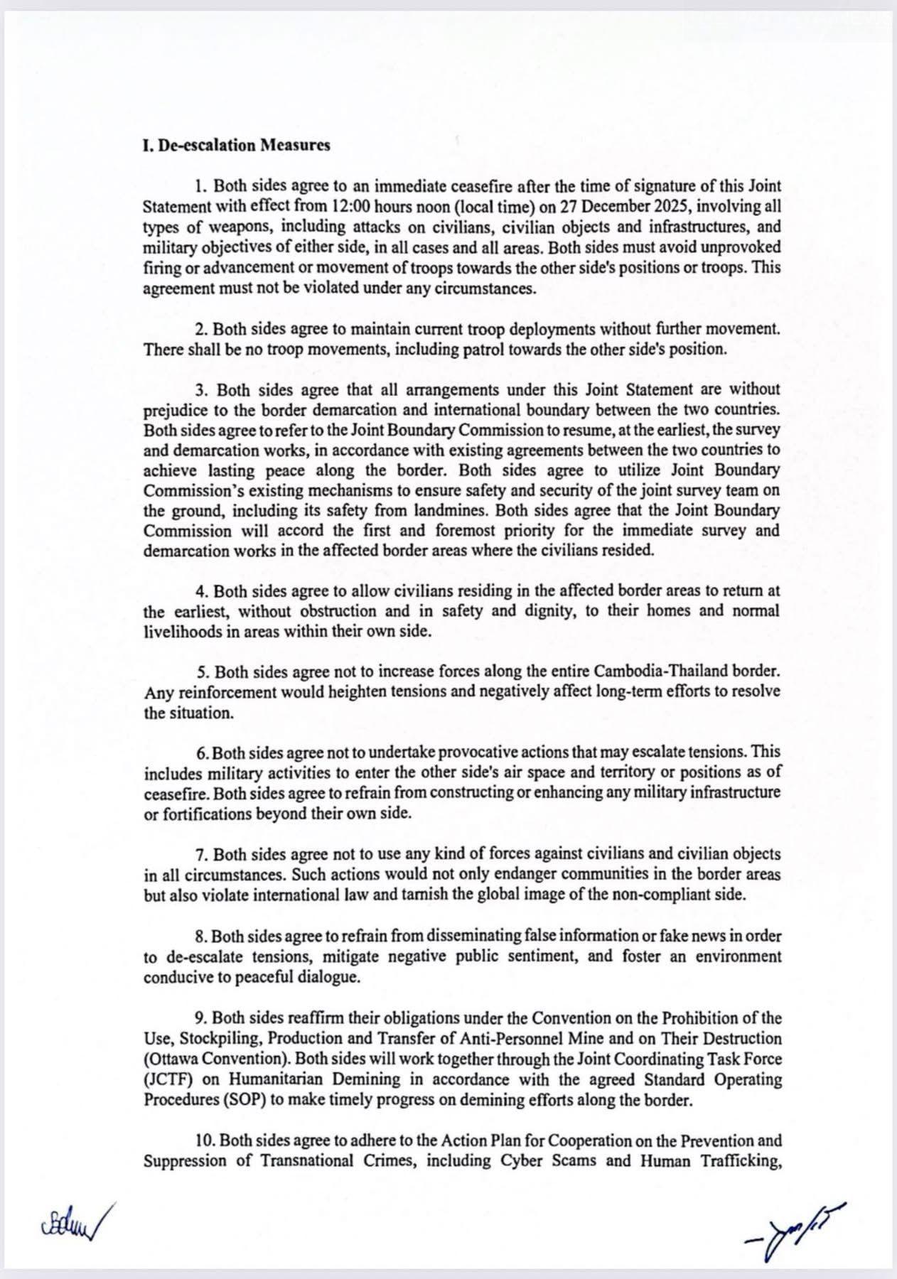
Bangkok/Phnom Penh, December 27th, 2025– Thailand and Cambodia have signed an immediate ceasefire agreement to halt weeks of intense border clashes, with Thailand committing to repatriate 18 Cambodian soldiers held as prisoners of war if the truce holds for 72 hours.
The deal, announced in a joint statement by the countries’ defense ministers, took effect at noon local time on Saturday following talks at a border checkpoint in Thailand’s Chanthaburi province. Cambodian Defense Minister Tea Seiha and Thai Defense Minister Natthaphon Narkphanit signed the agreement after three days of negotiations under the General Border Committee framework.
The ceasefire ends more than 20 days of renewed fighting that erupted in early December, breaking a previous truce brokered in July with U…
Bangkok/Phnom Penh, December 27th, 2025– Thailand and Cambodia have signed an immediate ceasefire agreement to halt weeks of intense border clashes, with Thailand committing to repatriate 18 Cambodian soldiers held as prisoners of war if the truce holds for 72 hours.
The deal, announced in a joint statement by the countries’ defense ministers, took effect at noon local time on Saturday following talks at a border checkpoint in Thailand’s Chanthaburi province. Cambodian Defense Minister Tea Seiha and Thai Defense Minister Natthaphon Narkphanit signed the agreement after three days of negotiations under the General Border Committee framework.
The ceasefire ends more than 20 days of renewed fighting that erupted in early December, breaking a previous truce brokered in July with U.S. and Malaysian mediation. The latest clashes, involving artillery, rockets, and Thai airstrikes, have killed at least 101 people and displaced over half a million civilians on both sides.

Key provisions include freezing troop movements, prohibiting attacks on civilians and infrastructure, and allowing displaced residents to return home. The conditional release of the 18 Cambodian soldiers, captured during the July fighting, has been a major demand from Phnom Penh.
The agreement reaffirms commitment to prior accords, including the Kuala Lumpur Declaration from October 2025. Observers note the next 72 hours will be critical for building confidence, amid longstanding territorial disputes over undemarcated border areas and ancient temples.

Both sides have accused each other of initiating violations, but reports indicate fighting has ceased since the truce began. ASEAN is expected to monitor implementation.


